2021. 11. 6. 16:54ㆍCertificate`/SQLD
윈도우 함수 (Window Function)
- 중첩해서 사용 X / 서브쿼리에서는 사용 O
종류
- 그룹 내 순위 함수 : RANK() / DENSE_RANK() / ROW_NUMBER()
- 그룹 내 집계 함수 : SUM / MAX / MIN / AVG / COUNT
- 그룹 내 행 순서 함수 : FIRST_VALUE(컬럼) / LAST_VALUE(컬럼) / LAG(컬럼, [n1, n2]) / LEAD(컬럼, [n1, n2])
- 그룹 내 비율 함수 : CUME_DIST() / PERCENT_RANK() / NTILE(n) / RATIO_TO_REPORT(컬럼)
- 선형 분석 포함한 통계 분석 함수
구문
SELECT 컬럼명1, 컬럼명2,... 윈도우함수(인수) OVER ([PARTITION BY 컬럼] [ORDER BY 컬럼] [WINDOWING 절] )
FROM 테이블명;
- PARTITION BY
- 전체 집합을 기준에 의해 소그룹으로 나누는 절
- ORDER BY
- 항목에 대한 순위
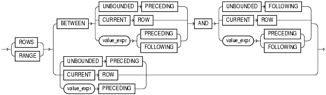
- WINDOWING
- 함수의 대상이 되는 행 기준의 범위 지정
- ROW = 물리적인 결과 행의 수 / RANGE = 논리적인 값에 의한 범위
- SQL Server에서 지원 X
※ WINDOWING 절 타입

- UNBOUNDED PRECEDING
- 현재 row기준으로 더 위쪽에 있는 모든 row 참조
- UNBOUNDED FOLLOWING
- 현재 row기준으로 더 아래쪽에 있는 모든 row 참조
- CURRENT ROW
- 현재 row를 시작점/끝점으로 간주
- VALUE_EXPR PRECEDING
- 현재 row기준으로 value_expr만큼 위쪽에 있는 row까지 참조
- VALUE_EXPR FOLLOWING
- 현재 row기준으로 value_expr만큼 아래쪽에 있는 row까지 참조
그룹 내 순위 함수 (RANK() / DENSE_RANK() / ROW_NUMBER())
≫ RANK()
- ORDER BY를 포함한 문에서 특정 컬럼에 대한 순위 구하는 함수
- 동일한 값 = 동일한 순위


(1) : 하나의 SQL문에서 ORDER BY SAL DESC 조건, PARTITION BY JOB 조건 사이에 충돌 발생
-> JOB별로 정렬이 되지 않고, ORDER BY SAL DESC조건으로 정렬
(2) : JOB별로 SAL이 높은 순서대로 정렬
≫ DENSE_RANK()
- RANK함수와 흡사
- 동일한 순위를 하나의 건수로 취급

- RANK()함수는 동일한 순위를 다르게 취급해서 2등이 2명이고 다음 등수가 4등이 된다
- DENSE_RANK()함수는 동일한 순위를 같게 취급해서 2등이 2명이고 다음 등수는 3등이 된다
≫ ROW_NUMBER()
- 동일한 값이라도 고유한 순위를 부여
- Oracle : rowid가 적은 행이 먼저 나온다

그룹 내 행 순서 함수 (FIRST_VALUE(컬럼) / LAST_VALUE(컬럼) / LAG / LEAD)
≫ FIRST_VALUE(컬럼)
- 파티션별 윈도우에서 가장 먼저 나온 값
- Oracle만 지원 O
- MIN함수와 같은 결과

≫ LAST_VALUE(컬럼)
- 파티션별 윈도우에서 가장 나중에 나온 값
- Oracle만 지원 O
- MAX함수와 같은 결과

≫ LAG(컬럼, n1, n2) / LEAD(컬럼, n1, n2)
- 파티션별 윈도우에서 이전/다음 몇번째 행의 값 가져오기
- SQL Server에서 지원 X
- n1 : 몇 번째 앞/뒤의 행을 가져올지 결정 (default = 1)
- n2 : NULL값이 들어올 경우 n2로 바꾸기
- ORDER BY 절을 필수로 작성


그룹 내 비율 함수 (CUME_DIST / PERCENT_RANK / NTILE / RATIO_TO_REPORT)
≫ RATIO_TO_REPORT(컬럼)
- 행별 컬럼 값의 백분율을 소수점으로 리턴
- SQL Server에서 지원 X
- OVER안에 ORDER BY 사용 X

≫ PERCENT_RANK()
- 행의 순서별 백분율 리턴
- SQL Server에서 지원 X

≫ CUME_DIST()
- 현재 행보다 작거나 같은 항목에 대한 누적백분율
- SQL Server에서 지원 X

≫ NTILE(n)
- 전체 건수를 인수값으로 n등분한 결과 리턴


